Lutfi Al-Sharif, Osama F. Abdel Aal, Ahmad M. Abu Alqumsan
Mechatronics Engineering Department
University of Jordan, Amman 11942, Jordan
This paper was presented at the 1st Symposium of Lift and Escalator Technologies (CIBSE Lifts Group and The University of Northampton) (2011). This web version © Peters Research Ltd 2019
Abstract
Monte Carlo simulation is a powerful tool used in calculating the value of a variable that is dependent on a number of random input variables. For this reason, it can be successfully used when calculating the round trip time of an elevator, where some of the inputs are random and follow preset probability distribution functions. The most obvious random inputs are the number of passengers boarding the car in one round trip, their origins (in the case of multiple entrances) and their destinations.
Monte Carlo simulation has been used to evaluate the elevator round trip time under up-peak traffic conditions. Its main advantage over analytical formula based methods is that it can deal with all special conditions in a building without the need for evaluating new special formulae. A combination of all of the following special conditions can be dealt with: Unequal floor population, unequal floor heights, multiple entrances and top speed not attained in one floor jump. Moreover, this can be done without loss of accuracy, by setting the number of runs to the appropriate value.
This paper extends the previous work on Monte Carlo simulation in relation to two aspects: the passenger arrival process model and the passenger average travelling time.
The software is developed using MATLAB. The results for the average travelling time are compared to analytical formulae (such as that by So. et al., 2002). The results showing the effect of the Poisson arrival process on the value of the elevator round trip time are also analysed.
The advantage of the method over analytical methods is again demonstrated by showing how it can deal with the combination of all the special conditions without the loss of accuracy (five conditions if the passenger arrival model is added as Poisson).
The issues of convergence, accuracy and running time are discussed in relation to the practicality of the method.
Keywords: Monte Carlo simulation, elevator, lift, round trip time, interval, up peak traffic, average waiting time, average travelling time, multiple entrances, highest reversal floor, probable number of stops.
Nomenclature
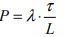
a is the top acceleration in m/s2
AR% is the passenger arrivals expressed as a percentage of the building population in the busiest five minutes
att is the average travelling time in s
awt is the average waiting time in s
CC is the car carrying capacity in persons
df is the height of one floor in m
df(i) is the floor height for floor i
df eff is the effective floor height used in the case of unequal floor heights in m
E(dtotal) is the expected value of the distance travelled in the up direction in m
dG is the height of the ground in m where more than the typical floor height
E(df) is the expected value of the floor heights (effective floor height)
H is the highest reversal floor (where floors are numbered 0, 1, 2….N
HC% is the handling capacity expressed as a percentage of the building population in five minutes
int is the interval at the main terminal in s
j is the top rated speed in m/s3
L is the number of the elevators in the group
N is the number of floors above the main terminal
P is the number of passengers boarding the car from the main terminal (does not need to be an integer)
S is the probable number of stops is the round trip time in s
tao is the door advance opening time in s (where the door starts opening before the car comes to a complete standstill)
tdc is the door closing time in s
tdo is the door opening time in s
tf is the time taken to complete a one floor journey in s
tpi is the passenger boarding time in s
tpo is the passenger alighting time in s
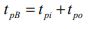
tpB is the component of the travelling time that the passenger spends boarding and alighting from the elevator car in s
tpW is the component of the travelling time that the passenger spends waiting for other passengers to board and alight from the elevator car in s
tpH is the component of the travelling time that the passenger spends travelling in the up direction at rated speed in s
tpS is the component of the travelling time that the passenger spends stopping when travelling in the up direction in s (accelerating, decelerating times, door opening and closing times)
ts is the time delay caused by a stop in s
tsd is the motor start delay in s
tv is the time required to traverse one floor when travelling at rated speed in s
U is the total building population
Ui is the building population on the ith floor
v is the top rated speed in m/s
1. Introduction
Monte Carlo simulation is a powerful method that can be used to evaluate the output value for problems that have a number of random inputs, whereby the probability density functions of the input random variables are known. By generating instances of the random input variable in the form of scenarios, and running a large number of scenarios, the expected value of the output of interest can be found by taking the average value of all the scenarios. Scenarios in this paper will be referred to as trials.
Monte Carlo simulation has been effectively used to evaluate the round trip time under up peak traffic conditions [1], in finding an optimum parking policy [2] as well as generating passengers for the purposes of simulating [3]. It offers an advantage over conventional equation based methods where special conditions exists, such as unequal floor heights, unequal floor populations, top speed not attained in one journey and multiple entrances.
This paper extends the application of the method to the calculation of the passenger average travelling time. In order to verify the results of the method, an equation is developed to calculate the average travelling time under up peak traffic conditions assuming top speed is attained in one floor journey, single entrance and equal floor heights. The Monte Carlo simulation results for the average travelling time are then compared to the equation developed in [4]. The equation is then extended in order to cover the case of unequal floor heights.
Analytical methods for elevator traffic analysis have been extensively covered in [5], [6], [7] and [8]. The Poisson passenger arrival model has been extensively covered in [9], [10], [11] and [12]. The case of the top speed not attained in one floor journey is addressed in [13]. The case of multiple entrances has been addressed in [14]. Discrete time-slice Simulation based methods have been developed in [15].
In order to ensure consistency and clarity of the interpretation of the results, the following definitions will be used throughout this paper for the average waiting time (awt) and the average travelling time (att):
awt: The average waiting time will be defined as the period from passenger arrival in the lobby until the passenger starts to board the car. Thus, based on this definition, the average waiting time does not include the passenger boarding time.
att: The average travelling time will be defined as the period from the time the passenger starts to board the car until the passenger has left the car at the destination floor. Thus, based on this definition, the average travelling time does include the passenger boarding time. It also includes the passenger alighting time at the destination.
The equation for the average travelling time is derived in section 2. Verification of this equation using the Monte Carlo simulation method is carried out in section 3. The equation is then further adjusted for the case of unequal floor heights in section 4. The effect of the Poisson passenger arrival model is analysed in section 5. A practical elevator system design example is given in section 6. A number of notes on convergence are presented in section 7. Conclusions and further work is presented in sections 8 and 9 respectively.
2. Dervation of the equation for the average travelling time
An equation for the average travelling time has been developed in [4]. The equation is derived in the section using a different approach and in accordance with definition presented earlier.
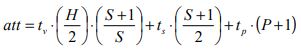
The approach that will be followed in deriving the average travelling time is to find the expression for each component of the minimum possible time and maximum possible time and the use the average of both.
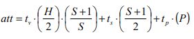
The average travelling time includes four components:
- The boarding and alighting time for the passenger himself/herself.
- The time the passenger spends waiting for other passengers to board and alight.
- The time the passenger spends during the elevator stoppage time (where stoppage time includes acceleration and deceleration time as well as door opening and closing times).
- The time that the passenger spends in the elevator car travelling at top speed.
The first component, which is the boarding and alighting time of the passenger, is easy to evaluate:
(1)
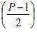
In order to calculate the second component, it is assumed that on average the passenger will have the remaining P −1 passengers ahead of him/her and the other half behind him/her. Thus he/she will have to wait for passenger to board the elevator after he/she has boarded; and will have to wait for
passenger to alight before he/she could alight.
(2)
As for the time spent during elevator stops, it is worth noting that all passengers will at least have to wait for the first stop (rational passenger boarding at the ground cannot alight at the ground and must at least wait for the first stop). Thus all passengers as a minimum must wait for ts caused by the first stop. As a maximum, a passenger might have to wait for all the S stops above, S⋅ts. None of the passengers will wait the last stop (door closing at the highest floor, acceleration and deceleration during the express back journey and doors opening at the main entrance) and hence the wait is for S stops rather than S+1 stops. Taking the average of both values above, gives the average time each passenger waits during elevator stops travelling in the up direction:
(3)
On average each stop will traverse a distance of floors. All passengers will have to wait for that distance to be traversed at stop speed at least, as any rational passenger cannot board at the main terminal and leave at the main terminal. As a maximum, some passengers will have to wait for the whole H floors to be traversed. The minimum time will be tv.
,while the maximum time will be
Taking the average of both times give an expression for the time spent during travelling at top speed in the up direction.
(4)
Adding all the four terms provides an expression for the average travelling time:
(5)
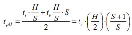
Rearranging and assuming that tpi = tpo = tp, gives the important final result for the average travelling time:
(6)
A similar expression for the average travelling time has been derived by So () using a different method and is shown below:
(7)
It is worth noting that the expression in equation (6) differs from the one in equation (7) in that it includes an extra tp where this accounts for the fact that this definition of waiting time includes passenger boarding time, while equation (7) excluded passenger boarding time.
It is also worth noting that equations (6) and (7) implicitly make the following assumptions:
- Top speed is attained on one floor journey.
- Incoming up peak traffic only.
- Equal floor heights.
- Single entrance.
The equation of the round trip time depends on the values of S (probable number of stops), H (the highest reversal floor) and P (the number of passengers in the car) as shown in equation (16).
(8)
The highest reversal floor is a function of the number of passengers:
(9)
The probable number of stops is also a function of the number of passengers:
(10)
The number of passengers in the elevator car is equal to the product of the passenger arrival rate and the actual interval:
(11)
But the interval is in fact a function of the round trip time as shown in equation (20) below:
(12)
Combining equations (19) and (20) gives the following result that shows that the number of passengers is a function of the round trip:
(13)
As can be concluded from the two equations ((8) and (13)) the round trip time is a function of the number of passengers, but the number of passengers is a function of the round trip time. Thus the equation for the round trip time shown in (8) is an implicit equation of the round trip time that can be only solved by the use of an iterative approach (or other mathematical methods such as conformal mapping [11]). This has been addressed as part of a comprehensive design methodology [17].
When amending the equations for H and S to address the Poisson passenger arrival model, the term that represents the probability of a passenger not travelling to the ith floor can be amended as shown below.
The probability of a passenger will not travel to floor i assuming equal floor populations for constant and Poisson arrival modes is shown below (using equation (11)):
| Constant passenger arrival model |
(14) | |
| Poisson passenger arrival model |
(15) |
The probability that all the passengers will not go to a floor i is (assuming equal floor populations) for both constant and Poisson arrival models is shown below:
| Constant passenger arrival model with equal floor populations |
(16) | |
| Poisson passenger arrival model with equal floor populations |
(17) |
And this can be further developed for the case of unequal floor populations as shown below:
| Constant passenger arrival model with equal floor populations |
(18) | |
| Poisson passenger arrival model with equal floor populations |
(19) |
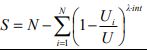
The probability of all passengers not going to a floor i is equivalent to the probability of the elevator not stopping at floor i. These expressions are used in deriving the values of H and S as shown in equations (20) to (27).
The equation for calculating the average travelling time (8) can cope with a number of special conditions such as unequal floor heights and Poisson arrival model by using the calculated for the probable number of stops and the highest reversal floor in accordance with equations (20) to (27).
| Constant passenger arrival model | Poisson passenger arrival model | |||
| Equal floor populations |
(20) | (21) | ||
|
Unequal floor |
(22) | (23) | ||
| Constant passenger arrival model | Poisson passenger arrival model | |||
|
Equal floor |
(24) | (25) | ||
|
Unequal |
(26) | (27) | ||
3. Verification
The derivation of the equation for the average travelling time has been necessary in order to verify the use of the Monte Carlo simulation. A repeat of the calculations carried out in [4] has been carried out with the results shown in Table 1. The results show excellent agreement with the calculation results.
Table 1: Verification results for the average travelling time comparing calculation and Monte Carlo simulation.
| N | P | Analytical Equation, assuming constant arrival process (7) |
Monte Carlo Simulation (assuming constant arrival process) |
| 10 | 6.4 | 48.19 | 48.18 |
| 10 | 16.8 | 74.46 | 74.40 |
| 13 | 6.4 | 53.65 | 53.67 |
| 13 | 16.8 | 84.00 | 84.00 |
| 16 | 10.4 | 73.27 | 73.27 |
| 16 | 20.8 | 101.97 | 101.97 |
| 20 | 10.4 | 80.70 | 80.72 |
| 20 | 20.8 | 112.85 | 112.85 |
| 23 | 12.8 | 94.74 | 94.65 |
| 23 | 26.4 | 135.00 | 135.03 |
However, the strength of the Monte Carlo simulation method becomes clear when the special conditions exist (such as top speed not attained or multiple entrances), where the calculation method fails to deal with. This will be illustrated later in this paper.
4. Case of unequal floor heights
In the case where the floor heights are unequal, this will have an effect on the calculation of the round trip time equation. The equation for the round trip time or average travelling time can be amended as follows in order to account for this case as follows.
The effect of the unequal floor heights can be taken into consideration by assuming an effective floor height df eff that can be inserted into the original round trip time equation. The effective floor height df eff is the expected value of the floor height. The effective floor height is the weighted average of all the floor heights multiplied by the probability of the elevator passing through that floor. In order for the elevator to pass through a floor it should travel to any of the floors above that floor. Thus it is necessary to find the probability of the elevator travelling above a certain floor, i.
The probability of the elevator not stopping at a certain floor, assuming equal floor populations is the probability that passenger j will stop at a floor i (assuming equal floor populationand a constant passenger arrival model):
(27)
Thus the probability that passenger j will not stop at a floor i is:
(28)
But the car contains P passengers. So the probability that none of them will stop at floor i is the product of all of their respective probabilities:
(29)
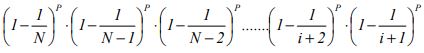
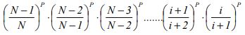
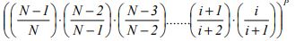
The probability that the lift will not travel any higher than a floor i is the probability that it will not stop on floor i+1 or i+2 or i+3 all the way to floor N. This is expressed as the product of these individual conditional probabilities:
P (lift will not travel above floor i)=
(30)
This can be re-written as:
P (lift will not travel above floor i)=
(31)
Putting all terms inside the same bracket gives:
P(lift will not travel above floor i)=
(32)
This simplifies to:
(33)
Thus the probability that the lift will travel above the floor i is:
(34)
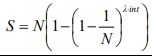
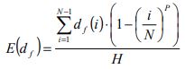
Thus the expected value of the travel distance can be calculated as the weighted average of the various floor heights as follows:
(35)
The last term above reduces to zero (as it is impossible for the elevator to pass through floor N). The expected floor height is obtained by dividing the expected total travel distance by the highest reversal floor, H. So the equation for the effective floor height can be expressed as shown below (assuming equal floor populations and a constant passenger arrival model):
(36)
The same procedure can be used to develop the equation for the case of unequal populations and Poisson passenger arrival model.
Taking an example to illustrate the difference in the effective floor height, a building with 20 floors above ground is analysed. The floor heights are shown below in Table 2. It will be assumed that the floor populations are equal and that the passenger arrival process is constant (rather than Poisson). It will be also assumed that the number of passenger, P, is 13.
Table 2: The floor heights for a building with 20 floors above ground.
| Floor # | i | df(i) (m) |
| L20 | 21 | 3.2 |
| L19 | 20 | 3.2 |
| L18 | 19 | 3.2 |
| L17 | 18 | 4.2 |
| L16 | 17 | 4.2 |
| L15 | 16 | 4.2 |
| L14 | 15 | 4.2 |
| L13 | 14 | 4.2 |
| L12 | 13 | 4.2 |
| L11 | 12 | 4.2 |
| L10 | 11 | 4.2 |
| L9 | 10 | 4.2 |
| L8 | 9 | 4.2 |
| L7 | 8 | 4.2 |
| L6 | 7 | 4.2 |
| L5 | 6 | 4.2 |
| L4 | 5 | 4.2 |
| L3 | 4 | 6 |
| L2 | 3 | 6 |
| L1 | 2 | 6 |
| G | 1 | 8 |
Applying equation (24) to evaluate the highest reversal floor gives a value for H of: 18.95 (assuming floors numbers run from 1 to 21). Then applying equation (36) to evaluate the effective floor height gives a value of 4.62 m. This can be compared to the average floor height of all floors, which is 4.50 m. A difference of 0.12 m exists per floor.
The average passenger travelling time can be calculated in order to assess the effect of unequal floor heights, using equation (7). Using the parameters shown below, whereby the rated speed is attained in one floor journey, and there is only a single entrance and a constant passenger arrival model is assumed.
tdo = 2 s
tdc = 3 s
tsd = 0.5 s
tao = 0 s
tpi = 1.2 s
tpo = 1.2 s
v = 1.6 m/s
a = 1.0 m/s2
j = 1.0 m/s3
The calculation and Monte Carlo simulation results for both round trip time and the average travelling time are shown in Table 3 below.
Table 3: Calculation and Monte Carlo simulation results for the round trip time and the average travelling time (all results in seconds).
| Floor height used | Round trip time | Average travelling time | ||
| Calculation | Monte Carlo simulation |
Calculation | Monte Carlo simulation |
|
| Average of all floor heights (4.5 m) |
225.11 | 225.10 | 89.76 s | 89.83 |
| Effective floor height 4.62 m using equation () |
227.96 | 227.96 | 90.55 s | 90.55 |
Using the effective floor height results in a difference of around 3 seconds for the round trip time and a difference of around 1 second for the average travelling time. Moreover, the Monte Carlo simulator is giving identical results to the calculation method of the amended equation.
5. The effect of the Poisson Passenger Arrival Model
Further investigation is carried out in this section of the effect of the passenger arrival model on the round trip time and the average travelling time. Table 4 shows the average travelling time and the round trip time for a number of buildings using for both the constant passenger arrival model and the Poisson arrival model. It can be seen that the assumption of a Poisson arrival model results in a small reduction of the values of the round trip time and the average travelling time.
Table 4: Round trip time and average travelling time for the two passenger arrival models.
| N | P | Analytical Equation, assuming constant arrival process (equation (7)) |
Monte Carlo Simulation (assuming constant arrival process) |
Monte Carlo Simulation (assuming Poisson arrival process) |
||
| att | att | τ | att | τ | ||
| 10 | 6.4 | 48.19 | 48.18 | 114.26 | 47.37 | 111.72 |
| 10 | 16.8 | 74.46 | 74.40 | 170.82 | 73.90 | 169.49 |
| 13 | 6.4 | 53.65 | 53.67 | 131.27 | 53.08 | 128.83 |
| 13 | 16.8 | 84.00 | 84.00 | 197.40 | 83.36 | 195.75 |
| 16 | 10.4 | 73.27 | 73.27 | 180.98 | 72.60 | 178.80 |
| 16 | 20.8 | 101.97 | 101.97 | 241.80 | 101.25 | 240.21 |
In general, as the number of passengers changes, the Poisson arrival model results in a smaller value of the round trip time and the average travelling time, as shown in Figure 1 and Figure 2 respectively.
Figure 1: Round Trip Time for a 16 floor building for both constant and Poison arrival passenger models.
Figure 2: Average travelling time for a16 floor building under constant and Poisson passenger arrival models.
6. Practical example
In order to illustrate the use of the Monte Carlo Simulation method in the elevator traffic design, the following practical example is presented. The example is shown in order to illustrate the use of the method for the combination of all of the following special cases:
a. Constant passenger arrival model.
b. Unequal floor populations.
c. Unequal floor heights.
d. Top speed not attained in one floor journey.
e. Multiple entrances.
An office building has an arrival rate (AR%) of 12%. It is desired to design the elevator system such that a target interval of 30 seconds is achieved. The automated design method developed in [17] is used for the design and the Monte Carlo simulation is used to calculate the round trip time as shown in [1].
The following parameters are used:
tdo = 2 s
tdc = 3 s
tsd = 0.5 s
tao = 0 s
tpi = 1.2 s
tpo = 1.2 s
v = 4.0 m/s (top speed will not be attained in one floor journey [16])
a = 1.0 m/s2
j = 1.0 m/s3
Table 5: The floor heights, populations and arrival rates for a building with 20 floors above ground.
| Floor # | df(i) (m) | Entrance arrival percentage |
Population |
| L20 | 4 | - | 30 |
| L19 | 4 | - | 38 |
| L18 | 4 | - | 38 |
| L17 | 4 | - | 38 |
| L16 | 4 | - | 38 |
| L15 | 4 | - | 38 |
| L14 | 4 | - | 38 |
| L13 | 4 | - | 38 |
| L12 | 4 | - | 38 |
| L11 | 4 | - | 38 |
| L10 | 4 | - | 38 |
| L9 | 4 | - | 38 |
| L8 | 4 | - | 38 |
| L7 | 4 | - | 38 |
| L6 | 4 | - | 38 |
| L5 | 4 | - | 38 |
| L4 | 4 | - | 100 |
| L3 | 6 | - | 100 |
| L2 | 6 | - | 100 |
| L1 | 6 | - | 100 |
| G | 8 | 70% | - |
| B1 | 3.2 | 10% | - |
| B2 | 3.2 | 10% | - |
| B3 | 3.2 | 10% | - |
The resultant design is shown below:
- Constant passenger arrival model
- Round trip time: 177.72 s
- Average travelling time: 71.73 s
- Number of elevators: 7
- Target interval: 30 s
- Actual Interval: 25.39 s
- Actual passenger P: 10.15 passengers
- Car capacity: 13 passengers 1000 kg
- Car loading: 78%
7. Notes on Convergence of the Monte Carlo Simulator
In this section, some analysis is carried out on the convergence of the final result from the Monte Carlo simulator as used to calculate the round trip time and the passenger average travelling time.
In order to achieve better accuracy, the number of trials can be selected. The round trip time results for a sample building are shown in Table 6. For each number of trials, the analysis is carried out 10 times.
Table 6: Effect of the number of trials on the calculation of the round trip time using the Monte Carlo Simulator.
| Number of Trials | ||||||
| Readings for the round trip time (s) |
10 | 100 | 1000 | 10000 | 100000 | 1000000 |
| 150 | 154.7813 | 153.8286 | 154.1935 | 154.1368 | 154.1514 | |
| 153.87 | 153.8205 | 154.3263 | 154.1499 | 154.205 | 154.1547 | |
| 152.745 | 152.9183 | 153.6842 | 153.8559 | 154.1622 | 154.1546 | |
| 155.7375 | 152.6933 | 153.7789 | 153.9662 | 154.1579 | 154.1587 | |
| 154.6125 | 153.4088 | 154.1551 | 154.0913 | 154.1548 | 154.1553 | |
| 156.3 | 155.4473 | 153.8216 | 154.2747 | 154.1166 | 154.1585 | |
| 156.5475 | 154.0455 | 154.0831 | 154.1364 | 154.1485 | 154.1510 | |
| 162.2175 | 153.3323 | 154.5007 | 154.1614 | 154.2053 | 154.1533 | |
| 156.5475 | 153.708 | 154.4249 | 154.1944 | 154.1861 | 154.1614 | |
| 147.75 | 155.049 | 154.2289 | 154.1461 | 154.1513 | 154.1557 | |
The results of all the Monte Carlo Simulations are plotted as a scatter diagram in Figure 3 in order to visually convey the relationship between the accuracy of the method against the number of trials. The effect on accuracy of the final answer against the number of trials is plotted in Figure 4. Based on the results in the figure, 100 000 trials are required for accuracies better than ±0.1%.
Figure 3: Convergence of the value of the round trip as the number of trials is increased.
Figure 4: Deviation percentage of the RTT from the mean against the number of trials.
For the example above, an analysis is shown of the running time for the increased number of trials and the resultant accuracy, as shown in below. This provides a guide to the designer in terms of trading off accuracy with running time.
It is worth noting that these running times are based on the running of MATLAB code. Use of other tools, such as C++ for example, would provide much faster software, significantly reducing the running time.
Table 7: Accuracy of the results for different number of trials and the required running time for the Monte Carlo Simulation for the example used.
| Number of iterations | Percentage deviation from the mean |
Running time (s) (for the example of 10 floors above ground, 13 passengers) |
| 10 | ±4.678% | <1 |
| 100 | ±0.895% | <1 |
| 1000 | ±0.265% | <1 |
| 10000 | ±0.136% | <1 |
| 100000 | ±0.029% | 7 |
| 1000000 | ±0.003% | 70 |
8. Conclusions
Monte Carlo simulation has been used to calculate the average passenger travelling time in an elevator system under up peak traffic conditions. The results of the Monte Carlo simulation have been verified for the simplest cases using an analytical formula for the average travelling time that has been derived. This verification showed good agreement.
The analytical equation was further developed to deal with the case of unequal floor heights, and further verification was carried out with good agreement. The analytical equations for the average travelling time can be applied to the cases of unequal floor populations and Poisson passenger arrival model.
The strength of the Monte Carlo simulation comes to the fore when the combination of all the five special conditions exists in a building: unequal floor heights; unequal floor populations; multiple entrances; Poisson arrival model and top speed not attained. A practical design example is given to show how the method can be used to calculate the round trip time and the average travelling time.
Commentary is given on the rate of convergence of the method, and the effect of the number of trials on the accuracy of the result. A guide is provided to the designer as to the trade-off between the number of trials, accuracy of the method and the running time.
REFERENCES
- Lutfi Al-Sharif, Husam M. Aldahiyat, Laith M. Alkurdi, “The Use of Monte Carlo Simulation in Evaluating the Elevator Round Trip Time under Up-peak Traffic Conditions”, accepted for publication in Building Services Engineering Research & Technology, 2/6/2011.
- C. M. Tam, Albert P. C. Chan, “Determining free elevator parking policy using Monte Carlo simulation”, International Journal of Elevator Engineering, Volume 1, 1996, page 24 to 34.
- Bruce A. Powell, “The role of computer simulation in the development of a new elevator product”, Proceedings of the 1984 Winter Simulation Conference, page 445-450, 1984.
- So A.T.P. and Suen W.S.M., "New formula for estimating average travel time", Elevatori, Vol. 31, No. 4, 2002, pp. 66-70.
- CIBSE, “CIBSE Guide D: Transportation systems in buildings”, published by the Chartered Institute of Building Services Engineers, Third Edition, 2005.
- G.C. Barney, “Elevator Traffic Handbook: Theory and Practice”, Taylor & Francis, 2002.
- R. D. Peters, “Lift Traffic Analysis: Formulae for the general case”, Building Services Engineering Research and Technology, Volume 11 No 2 (1990)
- Richard D. Peters, “The theory and practice of general analysis lift calculations”, Proceedings of the 4th International Conference on Elevator Technologies (Elevcon ’92), Amsterdam, May 1992.
- N. A. Alexandris, G. C. Barney, C. J. Harris, “Multi-car lift system analysis and design”, Applied Mathematical Modelling, 1979, Volume 3 August.
- N. A. Alexandris, G. C. Barney, C. J. Harris, “Derivation of the mean highest reversal floor and expected number of stops in lift systems”, Applied Mathematical Modelling, Volume 3, August 1979.
- N. A. Alexandris, C. J. Harris, G. C. Barney, “Evaluation of the handling capacity of multicar lift systems”, Applied Mathematical Modelling, 1981, Volume 5, February.
- N. A. Alexandris, “Mean highest reversal floor and expected number of stops in lift-stairs service systems of multi-level buildings”, Applied Mathematical Modelling, Volume 10, April 1986.
- N.R. Roschier, M.J., Kaakinen, "New formulae for elevator round trip time calculations", Elevator World supplement, 1978.
- Lutfi Al-Sharif, , “The effect of multiple entrances on the elevator round trip time under uppeak traffic”, Mathematical and Computer Modelling, Volume 52, Issues 3-4, August 2010, Pages 545-555.
- Richard David Peters, “Vertical Transportation Planning in Buildings”, Ph.D. Thesis, Brunel University, Department of Electrical Engineering, February 1998.
- Richard D. Peters, “Ideal Lift Kinematics”, Elevator Technology 6, IAEE Publications, 1995.
- Lutfi Al-Sharif, Ahmad M. Abu Alqumsan, Osama F. Abdel Aal, “Automated Optimal Design Methodology of Elevator Systems using Rules and Graphical Methods (the HARint plane)”, under review, Building Services Engineering Research & Technology, 17/6/2011.